《Science Pro》是一款提供你大量數學、物理、化學公式的 App,可以讓你以令人驚嘆的圖形瀏覽或是用標籤來組織,探索化學中精緻的可互動元素週期表。而透過這款 App,你再也不必去猜測不確定的答案,它將提供你一個可以信服的結果,成為你最可靠的科學依據。

重點文章
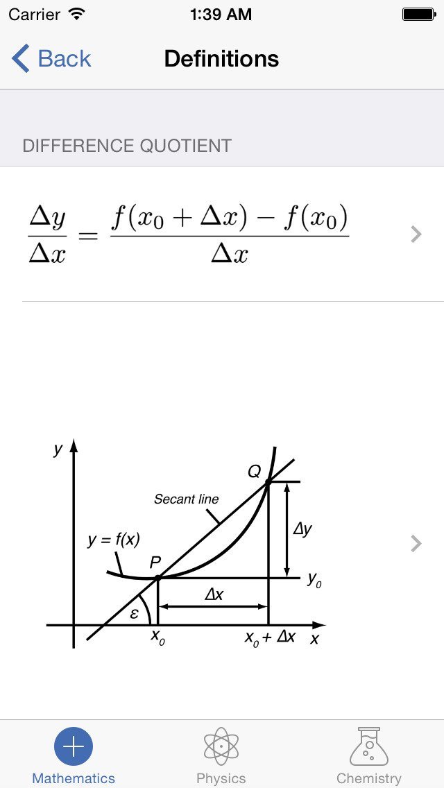
在數學方面,它可以提供:代數與算數、三角學、平面幾何學、立體幾何學、向量、函數與曲線、微分、積分、級數、線性代數、複數、微分方程、傅立葉變換、拉普拉斯變換、向量微積分、概率與統計的計算。
物理方面,它可提供:運動學、動力學、流體力學、振蕩與波、熱力學、聲學、光學、電、原子與原子核物理學的計算。化學部分則有著可互動的元素週期表可供用戶使用。
- 應用名稱:Science Pro
- 應用類別:教育
- 下載連結




